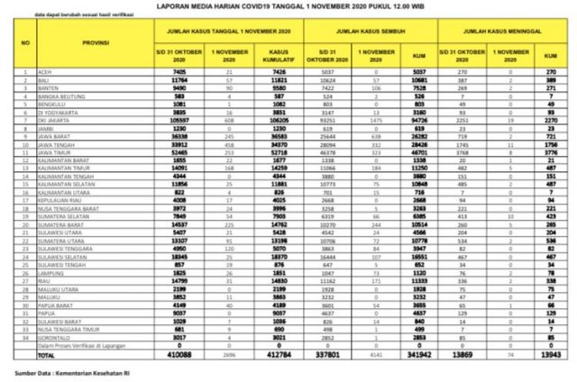
PALEMBANG, fornews.co – Laporan kasus sembuh Covid-19 secara nasional hari ini 1 November 2020 lebih tinggi dari kasus positif. Ada 4.141 pasien sembuh yang dilaporkan hari ini.
Penambahan 4.141 kasus sembuh ini berasal dari 26 provinsi. Karena ada 8 provinsi nihil laporan kasus sembuh. Sementara ada 9 provinsi yang melaporkan kasus sembuh di atas 100 yakni DKI Jakarta (1.475), Jawa Barat (638), Jawa Tengah (332), Jawa Timur (323), Sumatra Barat (244), Kalimantan Timur (184), Riau (171), Sulawesi Selatan (107), dan Banten (106). Secara total kasus sembuh mencapai 341.942.
Sementara itu, kasus positif bertambah 2.696. Ada 7 provinsi melaporkan kasus positif Covid-19 di atas 100 hari ini, yakni adalah DKI Jakarta (608), Jawa Tengah (458), Jawa Timur (253), Jawa Barat (245), Sumatra Barat (225), Kalimantan Timur (168), dan Sulawesi Tenggara (120). Dengan penambahan 2.696 kasus hari ini, secara akumulasi total kasus positif Covid-19 di Indonesia menjadi 412.784.
Sedangkan kasus kematian menjadi 13.943 setelah hari ini bertambah 74 kasus. Kematian terbanyak dilaporkan DKI Jakarta dengan 19 kasus.
Data dari Kementerian Kesehatan RI, hingga 1 November 2020 pukul 12.00 WIB pemeriksaan per hari telah dilakukan terhadap 23.208 spesimen dari 17.971 orang. Dari 426 laboratorium yang melakukan pemeriksaan spesimen, ada 164 lab yang belum melaporkan hasil pemeriksaan PCR. Secara kumulatif spesimen yang diperiksa mencapai 4.540.947 dari 2.899.414 orang. (ads/ije)
#satgascovid19 #ingatpesanibu #ingatpesanibupakaimasker #ingatpesanibujagajarak #ingatpesanibucucitangan #pakaimasker #jagajarak #jagajarakhindarikerumunan #cucitangan #cucitangandengansabun


















