PALEMBANG, fornews.co – Update COVID-19 secara nasional Sabtu 27 Juni 2020 hingga pukul 12.00 WIB kembali mencatatkan rekor penambahan tertinggi sejauh ini.
Hari ini ada penambahan 1.385 kasus konfirmasi positif baru. Sebelumnya Gugus Tugas COVID-19 mencatat ada beberapa penambahan kasus positif harian yang tercatat penambahan tertinggi sebelumnya, yaitu di tanggal 18 Juni 2020 (1.331 kasus) dan 10 Juni (1.241).
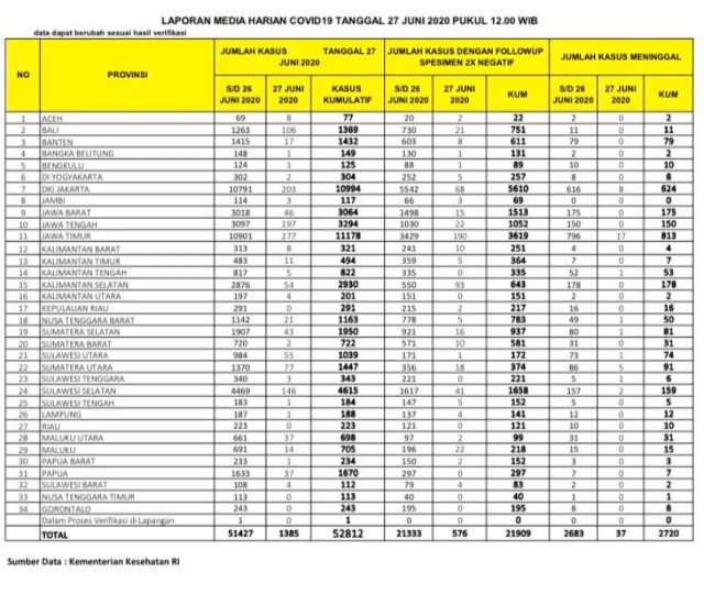
“Hari ini ada 21.589 spesimen yang diperiksa sehingga total spesimen yang sudah diperiksa menjadi 753.370. Hasil positif terkonfirmasi hari ini 1.385 dengan total 52.812,” ujar Juru Bicara Pemerintah untuk COVID-19 dr Achmad Yurianto pada konferensi pers di Graha BNPB, Jakarta, yang disiarkan melalui kanal YouTube BNPB, Sabtu (27/06).
Menurut Yuri, melihat sebaran penambahan kasus positif baru angka tertinggi hari ini Jawa Timur 277, DKI Jakarta 203, Jawa Tengah 197, Sulawesi Selatan 146, Bali 106.
Dari 34 provinsi terdampak ada 18 provinsi yang melaporkan penambahan kasus baru di bawah 10. Bahkan ada 4 provinsi yang melaporkan tidak ada penambahan kasus baru yaitu Kepulauan Riau, Riau, Nusa Tenggara Timur, dan Gorontalo.
Selain itu, lanjut Yuri, ada beberapa provinsi yang melaporkan kasus sembuh lebih banyak dari kasus positif baru, di antaranya Kalimantan Selatan 53 kasus baru dan 93 sembuh, Maluku 14 kasus baru dan 22 sembuh, Kalimantan Barat 8 kasus baru dan 10 sembuh, Sumatra Barat 2 kasus baru dan 10 sembuh.
“Sehingga total kasus sembuh yang kita catat hari ini 576 orang sehingga akumulasi sembuh 21.909 orang,” katanya.
“Sementara itu ada juga penambahan kasus meninggal 37 orang sehingga total 2.720,” imbuhnya.
Saat ini ada 448 kabupaten/kota terdampak di 34 provinsi. Sementara orang yang dipantau sebanyak 40.541 dan pasien yang dalam pengawasan ketat 13.522 orang.
Menurut Yuri, sepekan terakhir Gugus Tugas Percepatan Penanganan COVID-19 telah berkomunikasi dengan beberapa Dinas Kesehatan di provinsi maupun kabupaten/kota yang kecenderungan kasusnya masih cukup tinggi. Gugus Tugas COVID-19 meminta kepada Dinas Kesehatan daerah yang bersangkutan untuk melakukan intervensi yang lebih cepat lagi.
“Bukan hanya terkait banyaknya kasus (positif) tapi juga tingginya jumlah kasus per 100 ribu orang yang kemudian bisa direpresentasikan sebagai tingkat risiko ancaman tertular di beberapa daerah masih cukup tinggi. Ini disebabkan sumber penularan masih berada di tengah masyarakat. Mereka itu adalah beberapa orang yang kemudian sakit, terinfeksi COVID-19 dan berpotensi menularkan virus tetapi tidak melakukan isolasi secara baik. Selain itu masih ada masyarakat yang belum disiplin melindungi dirinya dengan menjaga jarak dan menggunakan masker serta mencuci tangan,” papar Yuri. (ije)

















